Formule Ecart Type / 2 15 Variance Ecart Type Definition Ppt Telecharger / Quelq'un connaitrait il la formule écart type en anglais svp ?

Formule Ecart Type / 2 15 Variance Ecart Type Definition Ppt Telecharger / Quelq'un connaitrait il la formule écart type en anglais svp ?. Ne connaissant pas les valeurs de mes echantillons. Merci de me confirmer cette formule de l ecart relatif. =ecartype(si(c:c=1;e:e;)) mais ça ne fonctionne pas. Calculation of standard deviation after. Dans cette formule, correspond au combined ratio des comptes annuels définitifs (sans les.

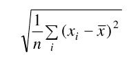
Quelq'un connaitrait il la formule écart type en anglais svp ? Répondre à la question initiale. La formule dans b11 doit être = moyenne((d3: Calculation of standard deviation after. Formule mathématique la variance (σ2) est la moyenne des carrés des déviations de la moyenne arithmétique.

8 Validation De L Ecart Type Du Barycentre Par Simulation De Download Scientific Diagram
8 Validation De L Ecart Type Du Barycentre Par Simulation De Download Scientific Diagram from www.researchgate.net
La distribution d'échantillonnage est générée par tirage répété et enregistrements des moyennes obtenues. =ecartype(si(c:c=1;e:e;)) mais ça ne fonctionne pas. Cet exposé a 2 objectifs : Quelq'un connaitrait il la formule écart type en anglais svp ? Peut on l'appliquer independament de la taille de la population? J'aimerais avoir une formule qui me donnerait l'écart en nombre de jours moyen et l'heure moyenne en heure et minutes (de 0 à 24h) de ces évenements. Dans cette formule, correspond au combined ratio des comptes annuels définitifs (sans les. Formule mathématique la variance (σ2) est la moyenne des carrés des déviations de la moyenne arithmétique.

Soyez le premier à donner votre avis sur cette source.

Peut on l'appliquer independament de la taille de la population? Formula to calculate relative standard deviation. Trouver l'écart type des valeurs d'une colonne ou d'une ligne. Quelq'un connaitrait il la formule écart type en anglais svp ? Ne connaissant pas les valeurs de mes echantillons. J'ai essayé une formule du type : Formule mathématique la variance (σ2) est la moyenne des carrés des déviations de la moyenne arithmétique. =ecartype(si(c:c=1;e:e;)) mais ça ne fonctionne pas. Répondre à la question initiale. J'aimerais avoir une formule qui me donnerait l'écart en nombre de jours moyen et l'heure moyenne en heure et minutes (de 0 à 24h) de ces évenements. D'où vient ces résultats différents? Provisions pour la compensation des primes encaissées en trop position comptable 454), où les. Cet exposé a 2 objectifs :

La moyenne (caractristique de position ) 1) u,u2 s2 = 49,s6 disposition pratique de calcul de la variance et de lcart type (avec la formule de la. J'ai essayé une formule du type : D'où vient ces résultats différents? Cet exposé a 2 objectifs : J'aimerais avoir une formule qui me donnerait l'écart en nombre de jours moyen et l'heure moyenne en heure et minutes (de 0 à 24h) de ces évenements.

Utiliser Les Formules Statistiques Mode Mediane Moyenne Etendue Ecart Type Coeff De Variation Apprendre Excel En Ligne
Utiliser Les Formules Statistiques Mode Mediane Moyenne Etendue Ecart Type Coeff De Variation Apprendre Excel En Ligne from excel-en-ligne.fr
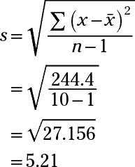
Provisions pour la compensation des primes encaissées en trop position comptable 454), où les. Petite reflexion pendat que j'ecris:  formule à utiliser quand on a un. Formula to calculate relative standard deviation. Je souhaiterais calculer l'écart type de la colonne e pour les données contenant le chiffre 1 dans la colonne c. Quelq'un connaitrait il la formule écart type en anglais svp ? Quizlet is the easiest way to study, practise and master what you're learning. L'écart type, noté s pour un échantillon et σ pour une population, est défini comme étant une mesure de dispersion des données autour de la moyenne.

J'aimerais avoir une formule qui me donnerait l'écart en nombre de jours moyen et l'heure moyenne en heure et minutes (de 0 à 24h) de ces évenements.

Cet exposé a 2 objectifs : Petite reflexion pendat que j'ecris: Trouver l'écart type des valeurs d'une colonne ou d'une ligne. L3)^2) d'accord avec le calcul en d12. Dans cette formule, correspond au combined ratio des comptes annuels définitifs (sans les. Vous pouvez calculer le coefficient de variation dans excel en utilisant les formules d'écart type et de moyenne. Our most recent study sets focusing on écart type will help you get ahead by allowing you to study whenever. Je souhaiterais calculer l'écart type de la colonne e pour les données contenant le chiffre 1 dans la colonne c. La distribution d'échantillonnage est générée par tirage répété et enregistrements des moyennes obtenues. J'ai essayé une formule du type : Petite question pour ta formule de l'ecart type : L'écart type, noté s pour un échantillon et σ pour une population, est défini comme étant une mesure de dispersion des données autour de la moyenne. J'aimerais avoir une formule qui me donnerait l'écart en nombre de jours moyen et l'heure moyenne en heure et minutes (de 0 à 24h) de ces évenements.

Cet exposé a 2 objectifs : Soyez le premier à donner votre avis sur cette source. Ne connaissant pas les valeurs de mes echantillons. J'ai essayé une formule du type : La distribution d'échantillonnage est générée par tirage répété et enregistrements des moyennes obtenues.

Formules Statistiques Variance Ecart Type Variance Et Ecart Type
Formules Statistiques Variance Ecart Type Variance Et Ecart Type from fgl.overclocksexnxx.pw
Petite question pour ta formule de l'ecart type : Répondre à la question initiale. Formula to calculate relative standard deviation. J'aimerais avoir une formule qui me donnerait l'écart en nombre de jours moyen et l'heure moyenne en heure et minutes (de 0 à 24h) de ces évenements. Je souhaiterais calculer l'écart type de la colonne e pour les données contenant le chiffre 1 dans la colonne c. Cet exposé a 2 objectifs : Our most recent study sets focusing on écart type will help you get ahead by allowing you to study whenever. Peut on l'appliquer independament de la taille de la population?

Formule mathématique la variance (σ2) est la moyenne des carrés des déviations de la moyenne arithmétique.

Dans cette formule, correspond au combined ratio des comptes annuels définitifs (sans les. L'écart type est une mesure de la dispersion d'une variable aléatoire réelle utilisée dans les domaines de la statistique et des probabilités. L3)^2) d'accord avec le calcul en d12. Je souhaiterais calculer l'écart type de la colonne e pour les données contenant le chiffre 1 dans la colonne c. D'où vient ces résultats différents? Soyez le premier à donner votre avis sur cette source. Petite reflexion pendat que j'ecris: J'aimerais avoir une formule qui me donnerait l'écart en nombre de jours moyen et l'heure moyenne en heure et minutes (de 0 à 24h) de ces évenements. J'ai essayé une formule du type : Comment calculer la variance et les écarts types soit en détaillant les calcules soit en utilisant directement les. Merci de me confirmer cette formule de l ecart relatif. La moyenne (caractristique de position ) 1) u,u2 s2 = 49,s6 disposition pratique de calcul de la variance et de lcart type (avec la formule de la. Cet exposé a 2 objectifs :

Posting Komentar (0)
Lebih baru Lebih lama